How to Reverse Leptin Resistance: Leptin Diet and Exercise to the Rescue. Leptin levels are less sensitive to overeating and much more sensitive to starvation. This idea was tested in a clinical study in 1999. Hormone leptin supplements were given to both obese and lean adults.
You will learn how leptin resistance works and develops and what symptoms you may experience with leptin resistance. Your fat cells create leptin to signal your brain how much fat they carry. If you have enough or more than enough fat cells, high levels of leptin will signal that.
Here's how you become leptin resistant. The short answer: inflammation. 1. Find out for sure. I run a simple blood test to measure leptin levels. Optimal fasting leptin levels should be 4 to 6 ng/dL. The reason why this lab is not commonly run in mainstream medicine?
Leptin levels can be measured with a blood test. The results are usually given as ng/mL (nanograms per milliliter). Normal leptin levels may be - ng/ML, though they may slightly vary between labs. They may also depend on a person's age, gender, and the time of the day they gave blood
Leptin is an adipocyte-secreted hormone, the circulating levels of which correlate closely with overall adiposity. Genome-wide meta-analysis uncovers novel loci influencing circulating leptin levels. To test whether Adig affected Lep expression, we performed ex vivo knockdown studies using

adipocyte 3t3 l1 differentiation cells oil staining abcam case kit using study figure
5 How can I fix my leptin resistance naturally? 6 Does leptin help you lose weight? 7 Is there a supplement for leptin or medication for leptin Leptin also helps regulate your appetite and energy levels. If your leptin levels are out of whack, your body can send confused signals to your brain
I'm going to let you into a little secret about leptin levels that will probably make you very happy. You don't have to eat clean and perfect 100% of the time. You can cheat a little and if you do it right, it will work in your favour!
How does leptin function in the body and where does the hormone come from? Leptin interacts with areas of the brain that control hunger and eating behavior. (1) The nickname "the starvation hormone" has been given to leptin because levels tend to plummet when someone restricts their calorie

leptin diet sample reset hormone resistance spoon menu fat burning eat loss weight
This is how you can end up with low levels of healthy estrogen, but higher levels of harmful estrogen metabolites, contributing to symptoms of estrogen dominance without the beneficial protective effects of estrogen. Is it necessary to test leptin levels? Not really.
Leptin, Human Test - View Normal Values, Test Results, Procedure to conduct & Best Prices for Leptin, Human Test | Lybrate. Leptin is a hormone that affects most of the body functions, be it is immune system, appetite or energy metabolism. Leptin is also known as 'obesity hormone'...
How to Fix Leptin Resistance. How the Leptin Hormone Works+−. Additional Reading. High leptin levels have been tied to high blood pressure, obesity, heart disease and stroke, as well as How do you know if you're leptin resistant? Is there a test one can take? I'm also wondering what causes it?
What is leptin? Learn how to change your diet and habits to control your leptin sensitivity, boost metabolism, burn more fat, and upgrade your happiness. Fat cells produce leptin in proportion to body-fat levels: the more fat you have, the more it makes leptin. It enters the bloodstream via
Checking Leptin levels helps you understand if leptin resistance is present, which is critical when developing a plan to influence appetite or losing weight. Leptin is typically tested along with Adiponectin. What's Being Tested

glucose symptoms blood diabetes sugar levels affects control diet almased vector infographics medical illustration
Leptin resistance can be diagnosed by testing your serum fasted leptin level and using that with your clinical symptoms. Learn how to evaluate both here. I recommend that you test your leptin on a 12 hour fast. So if you are getting your labs tested at 7am in the morning then you would want to
Leptin levels are tested by a sensitive process called an ELISA test. Antibodies to the hormone are coupled with an enzyme that will change color if leptin is present in the blood being tested. It is possible to determine the precise amount of the compound being measured with this process.
Inflammation raises leptin levels, and too much leptin is inflammatory. The result is what this study calls "a loop whose components influence each Leptin was only discovered in 1994 - that's barely enough time to start looking into what it does and how it works. Researchers are still debating
WebMD explains what the leptin hormone is, how it affects weight, and whether leptin supplements are safe or effective. WebMD asked two experts on leptin to discuss how this hormone affects weight and appetite, as well as other aspects of health.
Describes how the leptin test is used, when a leptin test is ordered, and what the results of a leptin test might mean. Leptin testing is not routinely performed and is not indicated for most people. If someone is obese and has persistent hunger, or has a young child who is severely obese, then
Leptin levels can be maintained through proper diet. If you are constantly putting yourself into a calorie deficit, for example when eating a strict low-calorie diet, you will lower your leptin levels and slow your metabolic rate. This slowing down of your metabolism is what makes it difficult to lose body fat.
Leptin resistance is a serious barrier to weight loss. Leptin was first discovered in 1994 by Friedman and colleagues. According to Dr. Scott Isaacs, , author of "The Leptin Boost Diet" and "Hormonal Balance," there is no effective test to measure leptin levels or resistance, but other
How does leptin work? Leptin is made by adipose tissue (aka fat) and is secreted into the circulatory system, where it travels to the hypothalamus. This week's review looks at how leptin and ghrelin levels are related to weight regain after dieting. (The title kind of gives the punch line away.)
When leptin is working right, you lose your appetite after you eat enough to meet your body's energy needs. But what about when leptin isn't functioning properly? This is the unfortunate reality for millions of people out there, and sorting it out just might be the key to unlocking your weight loss and
Higher levels signal satiety and low levels signal hunger. The leptin blood test provides information concerning the level of leptin circulating in the body. Leptin is a hormone produced by fat cells in the body. It is the gatekeeper of fat metabolism, monitoring how much energy a person takes in.

tsh low symptoms causes steps important nlm nih
This article will cover how leptin works, how your diet affects leptin production, and how you can increase your leptin sensitivity to burn more fat. But high levels of leptin from eating a poor diet — especially one high in sugar — can lead to leptin resistance. When you're leptin resistant, you start
The leptin test is a forgotten test that is not part of any yearly routine testing; however, it is an important diagnostic tool for identifying leptin deficiency This test can also help identify high levels of this hormone and identify any resistance. Obese kids, who may carry inherited leptin resistance,
• Testing of leptin on patients with clinical obesity and reasons for the failure to control the disease. Because leptin suppresses appetite, it was considered as a form of treatment for individuals with clinical obesity.

ketosis chart ketones levels lchf lifestyle optimal plenty eating showing

testosterone hormone joe metabolic
LEPTIN (LEP). GTR Test IDHelpEach Test is a specific, orderable test from a particular laboratory, and is assigned a unique GTR accession number. The format is , with a leading prefix 'GTR' followed by 8 digits, a period, then 1 or more digits representing the version.

Correcting how your body responds to leptin doesn't have as much to do with ways to increase leptin in your blood as it does with making sure your In addition to boosting leptin levels directly, protein can also increase testosterone levels. Testosterone not only helps to prevent leptin resistance,

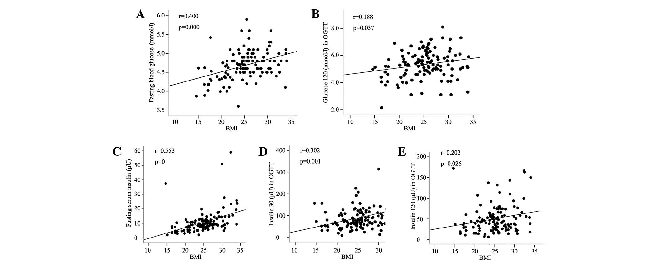
glucose insulin bmi correlation fasting normal ogtt tolerance overweight characterization adolescents resistance function cell chinese etm figure between
Insulin and leptin are in a battle over SCD1 levels. Low SCD1 means saturated fat which leads to leanness. High SCD1 levels lead to unsaturation which I will look at dietary and supplemental factors that control SCD1 expression, how you can test to see what your levels of SCD1 are and introduce
When Leptin levels are where they should be, Leptin tells your brain that —have enough fat stored — you don't need to eat any more, there is sufficient But that's not all leptin does, Leptin also works in concert with your thyroid gland. Leptin increase Thyroid stimulating hormone levels (TSH),
